当前位置: 首页 · 招生就业 · 招生信息 · 正文

招生信息

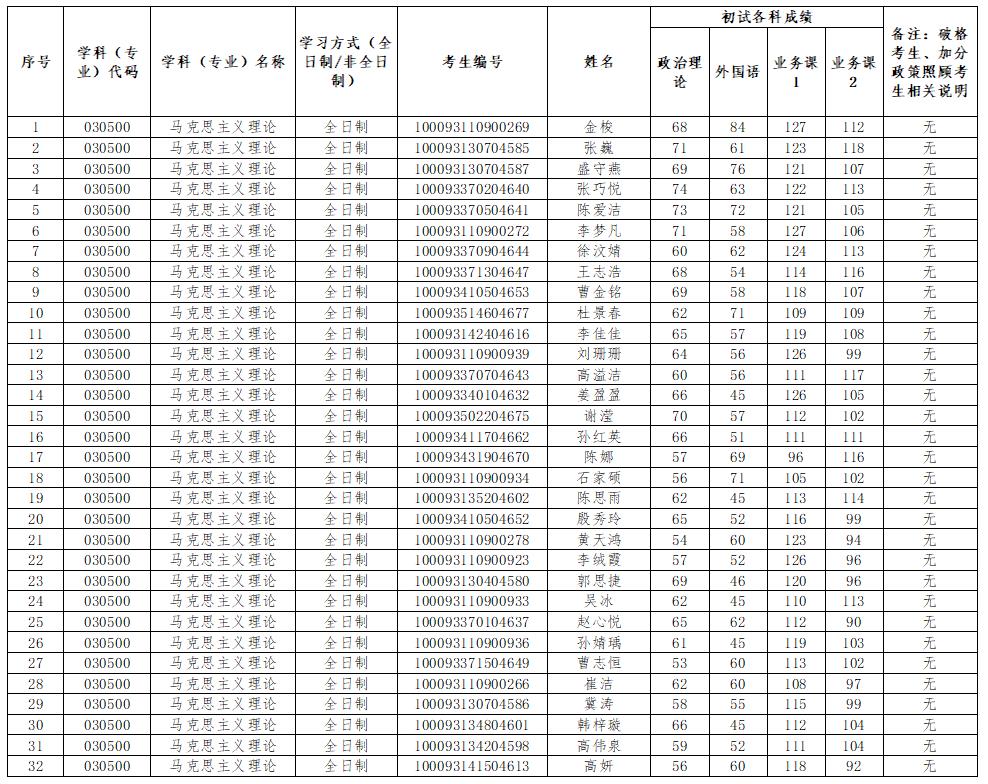
英国威廉集团2023年硕士研究生招生考试复试第一志愿考生名单
来源: 发布日期:2023/03/24 点击量:

英国威廉集团

2023年3月24日

版权所有:英国·威廉希尔(williamhill-CHN)中文官方网站|Official Website    电话010-88803302     京公网安备 110402430037 号